John Bartlett

Author of Chequered Justice & Dark Horse

  • Home
    • About – Racing Career, Teams & Scrapbook
      • Return to Racing… Against Medical & Legal Advice!
    • Books by John Bartlett
      • Chequered Justice
        • Chequered Justice Audiobook voiced by Leslie Phillips CBE
      • Dark Horse
      • Book Reviews
  • Blog
    • My True Story (Pt. 1)
      • My True Story (Pt. 2)
        • My True Story (Pt.3)
          • My True Story (Pt. 4)
  • Frequently Asked Questions About Chequered Justice
  • Autism, ADHD, Dyslexia & the BJS
    • Overcoming Autism, Dyslexia & ADHD
    • Carol Stott ASD Report Summary
  • PPI Scandal Exposé: My Ordeal with the PPI Companies, BJS & the CCRC…
    • The CCRC – Not Fit for Purpose!…
      • The CCRC – A Kafkaesque Department of Smoke & mirrors

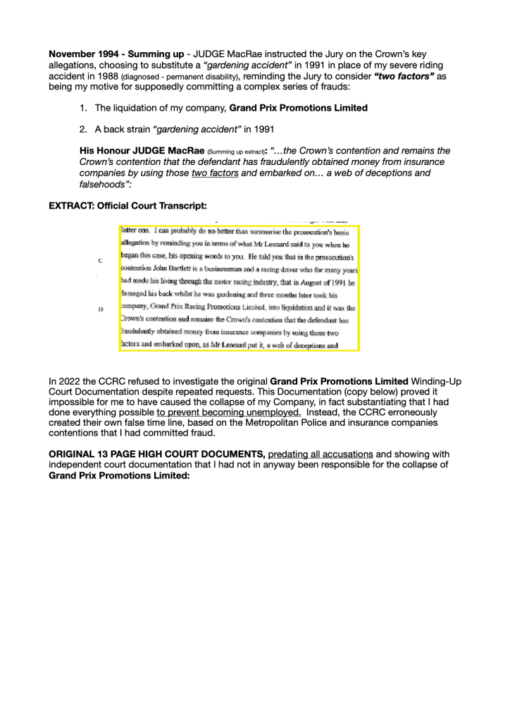
November 1994 – Summing up

Share this:

  • Share on X (Opens in new window) X
  • Share on Facebook (Opens in new window) Facebook
  • Email a link to a friend (Opens in new window) Email
Like Loading...
  • Recent Posts

    • The CCRC – A Kafkaesque Department of Smoke & mirrors
    • 5 out of 5 Stars! – A brilliantly written book
    • 5 Stars! Dark Horse – Gripping story of perseverance and determination based on true facts – 2 January 2020
    • 5 Stars! Chequered Justice – Totally gripping story based on true facts – 1st April 2019
    • 4 Stars! Chequered Justice – Fascinating story – 1 December 2017
  • Follow John on Twitter

    Tweets by ChequeredJ
  • Follow John on Facebook

    Follow John on Facebook
  • YouTube

    Chequered Justice Channel
  • Archives

    • July 2022
    • April 2020
    • January 2020
    • April 2019
    • December 2017
    • November 2017
    • February 2017
    • December 2016
    • November 2016
    • October 2016
    • August 2016
    • July 2016
    • May 2016
    • April 2016
    • February 2016
    • November 2015
    • March 2015
    • February 2015
    • January 2015
    • December 2014
    • September 2014
    • July 2014
    • June 2014
    • May 2014
    • April 2014
    • March 2014
    • February 2014
    • October 2013
    • September 2013
    • August 2013
    • June 2013
    • May 2013
    • April 2013
    • March 2013
    • February 2013
    • January 2013
    • December 2012
    • November 2012
    • August 2012
    • July 2012
    • June 2012
    • April 2012
    • February 2012
    • September 2011
    • July 2011
    • January 2011
    • December 2010
    • November 2010
    • October 2010
  • Blog Stats

    • 27,210 hits
  • Enter your email address to follow this blog and receive notifications of new posts by email.

    Join 84 other subscribers
  • Contact John Bartlett

    Maidstone, Kent ME15 7SX
    44 1622 754280

Create a free website or blog at WordPress.com.
Privacy & Cookies: This site uses cookies. By continuing to use this website, you agree to their use.
To find out more, including how to control cookies, see here: Cookie Policy
  • Subscribe Subscribed
    • John Bartlett
    • Join 37 other subscribers
    • Already have a WordPress.com account? Log in now.
    • John Bartlett
    • Subscribe Subscribed
    • Sign up
    • Log in
    • Copy shortlink
    • Report this content
    • View post in Reader
    • Manage subscriptions
    • Collapse this bar
 

Loading Comments...
 

    %d